BT1.SEP | This file was created on 23 Jun'03 0:42 by ChemSep v4.50( C:\CHEMSEP\BT1.SEP) |
Column C:\CHEMSEP\BT1.SEP
Components:
Benzene
Toluene
Operation:
Simple Distillation
Total (Liquid product) Condenser
Partial (Liquid product) Reboiler
10 Stages
Feeds to stages 5
|----|
|------>-----| |
| |1 | |
|--|------| |--|-|
| | |----<-------->-
|--|---|--|
|--|---|--|
----->----5-|--|---|--|
|--|---|--|
|--|---|--|
| |---|-----<----|
|------|--| |--|-|
|--->---------->-
10|----|
Properties:
Raoult's law K model
Antoine Vapour pressure
None Enthalpy
Enthalpy reference state Vapour
Enthalpy reference temperature 25.00 ( C)
Formation enthalpies Excluded
Exergy surroundings temperature 25.00 ( C)
Reactions:
Specifications:
Column pressure
Condenser pressure 1.115 (bar)
Top pressure 1.115 (bar)
Default efficiency = 1.000 (-)
Feed 1
Stage 5
Pressure (bar) 1.115
Enthalpy (kJ/kmol)
Vapour fraction (-) 0.0000
Temperature ( C)
Component flows (mol/s)
Benzene 5.874
Toluene 5.874
Condenser
Reflux ratio = 2.000 (-)
Initialization guess: *
Reboiler
Bottom product flow rate = 5.874 (mol/s)
Initialization guess: *
Solve options:
Automatic Initialization
Newton's method
Flow Step limit 0.5000 (-)
Temperature Step limit 10.00 ( C)
Composition Step limit 1.000 (-)
Accuracy = 0.0001
Maximum iterations = 30
Feeds type = Stage below
User program = CSW
ChemSep - Flash/Col2 v4.00s
Copyright(c) H.Kooijman and R.Taylor, 1988-2000
Checking data file F:\CS\WWW\CURRENT\DOWNLO~1\BT1.SEP
Reading configuration
Reading component property libraries
Reading thermodynamic property options
Reading specifications
Checking Component Data
Benzene
Toluene
Determining feed conditions
Generating initial flow profiles
Generating initial composition profiles
Starting Newtons method
Ctrl-Break will terminate execution
Iteration Error
0 7.1364E-04
1 2.1626E-03
2 3.4729E-06
Convergence obtained in 2 iterations
Generating equilibrium data
Mass and Energy Balances
Stream / Apparatus Mass (mol/s) Energy (MW) Exergy (MW)
Feed 1 11.75 0.0000 -0.8236
Top -5.873 -0.0000 0.3601
Bottom -5.874 -0.0000 0.4581
Condenser Duty 0.0000 0.0000
Reboiler Duty 0.0000 0.0000
----------- + ----------- + ----------- +
Balance -3.958E-05 0.0000 -0.005415
Thermodynamic efficiency = -0.0000
Component discrepancies (mol/s)
Benzene -1.722E-05
Toluene -1.929E-05
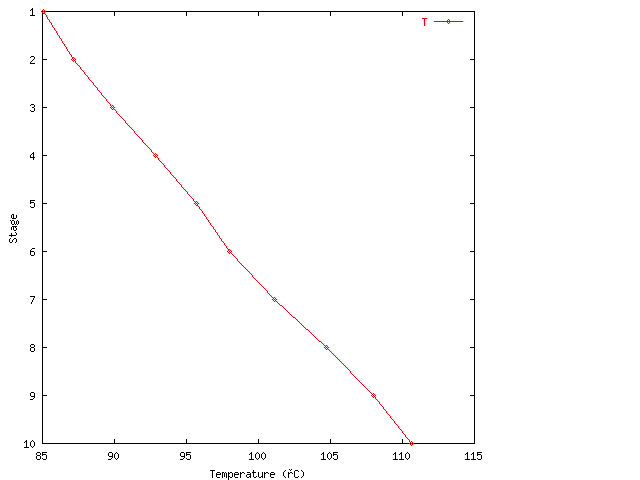
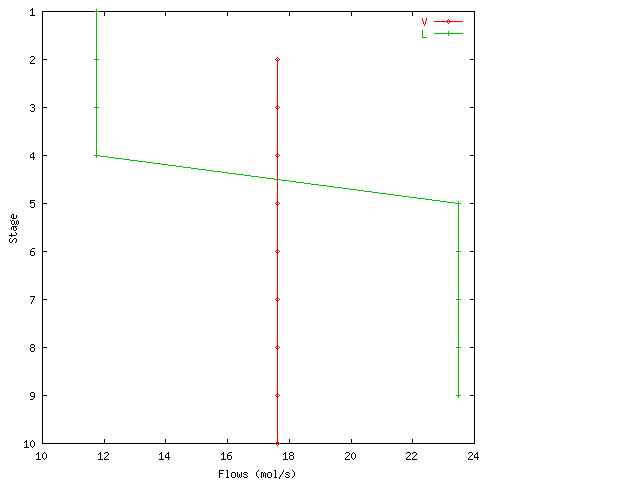
Stage Temperature Pressure Flow rates (mol/s)
( C) (bar) Liquid Vapour Feed Product
1 85.09 1.115 11.75 5.873 L
2 87.14 1.115 11.75 17.62
3 89.85 1.115 11.75 17.62
4 92.88 1.115 11.75 17.62
5 95.71 1.115 23.49 17.62 11.75
6 98.02 1.115 23.49 17.62
7 101.1 1.115 23.49 17.62
8 104.7 1.115 23.49 17.62
9 108.0 1.115 23.49 17.62
10 110.6 1.115 17.62 5.874 L
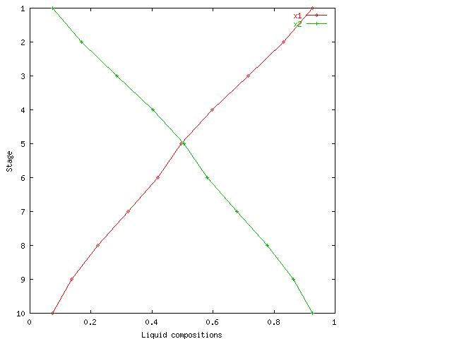
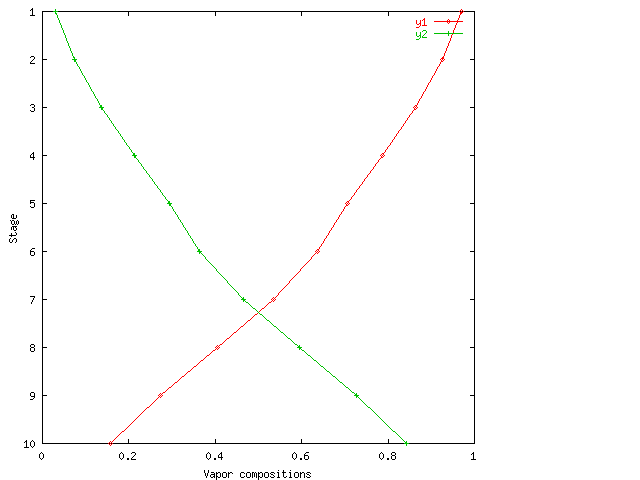
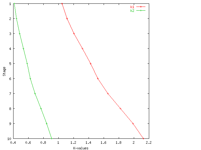
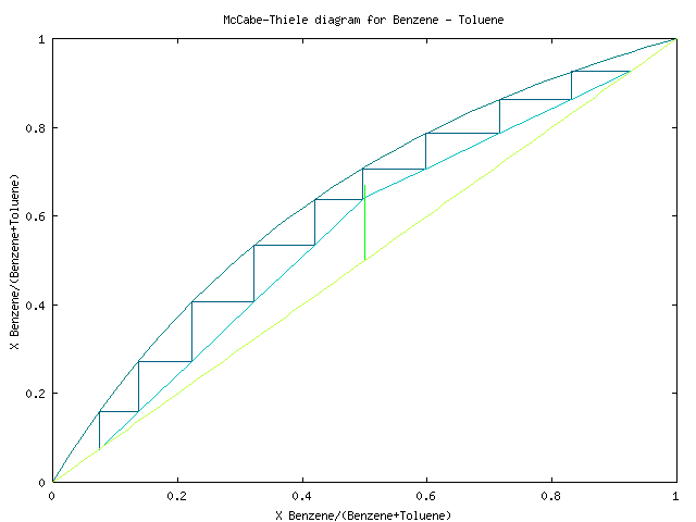
Profile for Toluene
Stage Liquid (-) Vapour (-) K (-)
1 0.07432 0.03065 0.4124
2 0.1683 0.07432 0.4415
3 0.2839 0.1370 0.4825
4 0.4023 0.2140 0.5320
5 0.5037 0.2930 0.5817
6 0.5807 0.3630 0.6251
7 0.6772 0.4658 0.6878
8 0.7771 0.5943 0.7648
9 0.8628 0.7276 0.8432
10 0.9256 0.8419 0.9096
Profile for Toluene
Stage Liquid (-) Vapour (-) K (-)
1 0.07432 0.03065 0.4124
2 0.1683 0.07432 0.4415
3 0.2839 0.1370 0.4825
4 0.4023 0.2140 0.5320
5 0.5037 0.2930 0.5817
6 0.5807 0.3630 0.6251
7 0.6772 0.4658 0.6878
8 0.7771 0.5943 0.7648
9 0.8628 0.7276 0.8432
10 0.9256 0.8419 0.9096
Stream Feed 1 Top Bottom
Stage 5 1 10
Pressure (bar) 1.115 1.115 1.115
Vapour fraction (-) 0.0000 0.0000 0.0000
Temperature ( C) 95.60 85.09 110.6
Enthalpy (kJ/kmol) 0.0000 0.0000 0.0000
Entropy (J/kmol/K) 2.352E+05 2.057E+05 2.616E+05
Mole flows (mol/s)
Benzene 5.874 5.437 0.4369
Toluene 5.874 0.4365 5.437
Total molar flow 11.75 5.873 5.874
Mole fractions (-)
Benzene 0.5000 0.9257 0.07438
Toluene 0.5000 0.07432 0.9256
Mass flows (kg/s)
Benzene 0.4588 0.4247 0.03413
Toluene 0.5412 0.04022 0.5010
Total mass flow 1.0000 0.4649 0.5351
Mass fractions (-)
Benzene 0.4588 0.9135 0.06378
Toluene 0.5412 0.08651 0.9362
Liquid compositions
Vapor compositions
K-values
Temperatures
Pressures
Flow profiles
Enthalpies
Stripping factors
Key-ratios
Relative volatilities
McCabe-Thiele