BT2.SEP | This file was created on 23 Jun'03 0:42 by ChemSep v4.50( C:\CHEMSEP\BT2.SEP) |
Column C:\CHEMSEP\BT2.SEP
Components:
Benzene
Toluene
Operation:
Simple Distillation
Total (Liquid product) Condenser
Partial (Liquid product) Reboiler
10 Stages
Feeds to stages 5
|----|
|------>-----| |
| |1 | |
|--|------| |--|-|
| | |----<-------->-
|--|---|--|
|--|---|--|
----->----5-|--|---|--|
|--|---|--|
|--|---|--|
| |---|-----<----|
|------|--| |--|-|
|--->---------->-
10|----|
Properties:
DECHEMA K model
UNIFAC Activity coefficient
Antoine Vapour pressure
Excess Enthalpy
Enthalpy reference state Vapour
Enthalpy reference temperature 25.00 ( C)
Formation enthalpies Excluded
Exergy surroundings temperature 25.00 ( C)
Reactions:
Specifications:
Column pressure
Condenser pressure 1.115 (bar)
Top pressure 1.115 (bar)
Default efficiency = 1.000 (-)
Feed 1
Stage 5
Pressure (bar) 1.115
Enthalpy (kJ/kmol)
Vapour fraction (-) 0.0000
Temperature ( C)
Component flows (mol/s)
Benzene 5.874
Toluene 5.874
Condenser
Reflux ratio = 2.000 (-)
Initialization guess: *
Reboiler
Bottom product flow rate = 5.874 (mol/s)
Initialization guess: *
Solve options:
Automatic Initialization
Newton's method
Flow Step limit 0.5000 (-)
Temperature Step limit 10.00 ( C)
Composition Step limit 1.000 (-)
Accuracy = 0.0001
Maximum iterations = 30
Feeds type = Stage below
User program = CSW
ChemSep (TM) - Flash/Col2 v4.30s
Copyright(c) H.Kooijman and R.Taylor, 1988-2001
Checking data file C:\CHEMSEP\BT2.SEP
Reading configuration
Reading component property libraries
Reading thermodynamic property options
Reading specifications
Checking Component Data
Benzene
Toluene
Determining feed conditions
Generating initial flow profiles
Generating initial composition profiles
Starting Newtons method
Ctrl-Break will terminate execution
Iteration Error
0 1.2908E+04
1 9.6881E+01
2 2.1764E-01
Convergence obtained in 2 iterations
Generating equilibrium data
c:/chemsep/bin/go-col2.exe done
Mass and Energy Balances
Stream / Apparatus Mass (mol/s) Energy (MW) Exergy (MW)
Feed 1 11.75 -0.2899 -1.114
Top -5.873 0.1479 0.5088
Bottom -5.874 0.1355 0.5933
Condenser Duty -0.5471 -0.09197
Reboiler Duty 0.5536 0.1235
----------- + ----------- + ----------- +
Balance -3.958E-05 1.125E-06 0.01939
Thermodynamic efficiency = 0.3841
Component discrepancies (mol/s)
Benzene -2.141E-05
Toluene -1.905E-05
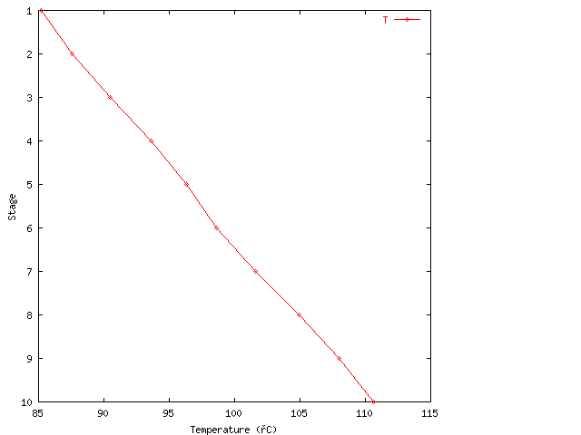
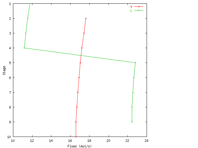
Stage Temperature Pressure Flow rates (mol/s)
( C) (bar) Liquid Vapour Feed Product
1 85.24 1.115 11.75 5.873 L
2 87.54 1.115 11.53 17.62
3 90.49 1.115 11.32 17.41
4 93.61 1.115 11.16 17.20
5 96.30 1.115 22.79 17.03 11.75
6 98.59 1.115 22.65 16.91
7 101.6 1.115 22.53 16.78
8 104.9 1.115 22.46 16.66
9 108.0 1.115 22.44 16.58
10 110.6 1.115 16.57 5.874 L
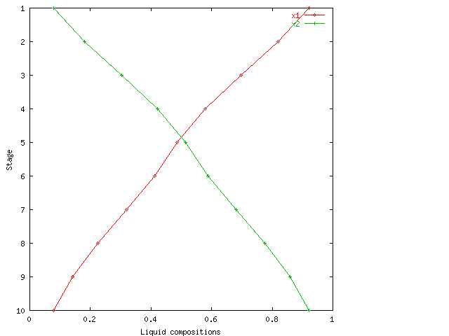
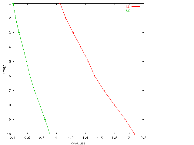
Profile for Toluene
Stage Liquid (-) Vapour (-) K (-)
1 0.07929 0.03190 0.4023
2 0.1813 0.07929 0.4373
3 0.3028 0.1469 0.4851
4 0.4202 0.2264 0.5389
5 0.5142 0.3026 0.5886
6 0.5891 0.3730 0.6332
7 0.6806 0.4730 0.6949
8 0.7752 0.5959 0.7688
9 0.8579 0.7236 0.8435
10 0.9206 0.8357 0.9077
Profile for Toluene
Stage Liquid (-) Vapour (-) K (-)
1 0.07929 0.03190 0.4023
2 0.1813 0.07929 0.4373
3 0.3028 0.1469 0.4851
4 0.4202 0.2264 0.5389
5 0.5142 0.3026 0.5886
6 0.5891 0.3730 0.6332
7 0.6806 0.4730 0.6949
8 0.7752 0.5959 0.7688
9 0.8579 0.7236 0.8435
10 0.9206 0.8357 0.9077
Stream Feed 1 Top Bottom
Stage 5 1 10
Pressure (bar) 1.115 1.115 1.115
Vapour fraction (-) 0.0000 0.0000 0.0000
Temperature ( C) 95.89 85.24 110.6
Enthalpy (kJ/kmol) -2.468E+04 -2.519E+04 -2.307E+04
Entropy (J/kmol/K) 2.353E+05 2.061E+05 2.614E+05
Mole flows (mol/s)
Benzene 5.874 5.407 0.4661
Toluene 5.874 0.4657 5.408
Total molar flow 11.75 5.873 5.874
Mole fractions (-)
Benzene 0.5000 0.9207 0.07936
Toluene 0.5000 0.07929 0.9206
Mass flows (kg/s)
Benzene 0.4588 0.4224 0.03641
Toluene 0.5412 0.04291 0.4983
Total mass flow 1.0000 0.4653 0.5347
Mass fractions (-)
Benzene 0.4588 0.9078 0.06810
Toluene 0.5412 0.09222 0.9319
Liquid compositions
Vapor compositions
K-values
Temperatures
Pressures
Flow profiles
Enthalpies
Stripping factors
Key-ratios
Relative volatilities
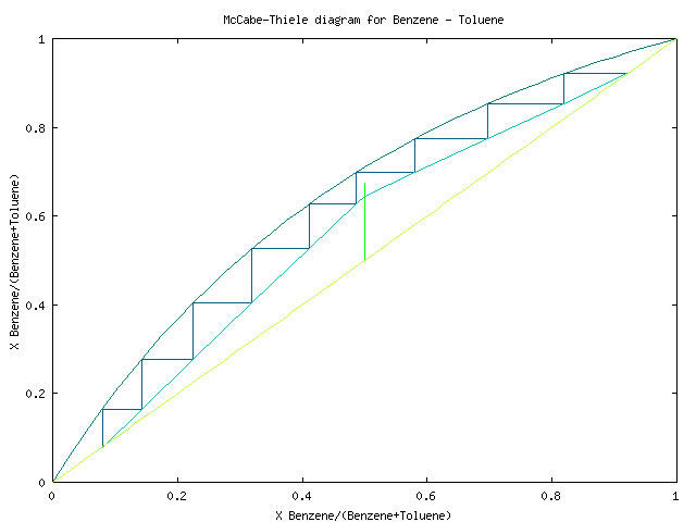
McCabe-Thiele