BT3.SEP | This file was created on 23 Jun'03 0:43 by ChemSep v4.50( C:\CHEMSEP\BT3.SEP) |
Column C:\CHEMSEP\BT3.SEP
Components:
Benzene
Toluene
Operation:
Simple Distillation
Total (Liquid product) Condenser
Partial (Liquid product) Reboiler
10 Stages
Feeds to stages 5
|----|
|------>-----| |
| |1 | |
|--|------| |--|-|
| | |----<-------->-
|--|---|--|
|--|---|--|
----->----5-|--|---|--|
|--|---|--|
|--|---|--|
| |---|-----<----|
|------|--| |--|-|
|--->---------->-
10|----|
Properties:
Raoult's law K model
Antoine Vapour pressure
None Enthalpy
Enthalpy reference state Vapour
Enthalpy reference temperature 25.00 ( C)
Formation enthalpies Excluded
Exergy surroundings temperature 25.00 ( C)
Reactions:
Specifications:
Column pressure
Condenser pressure 1.115 (bar)
Top pressure 1.115 (bar)
Default efficiency = 1.000 (-)
Feed 1
Stage 5
Pressure (bar) 1.115
Enthalpy (kJ/kmol)
Vapour fraction (-) 0.0000
Temperature ( C)
Component flows (mol/s)
Benzene 5.874
Toluene 5.874
Condenser
Reflux ratio = 10.00 (-)
Initialization guess: *
Reboiler
Bottom product flow rate = 5.874 (mol/s)
Initialization guess: *
Solve options:
Automatic Initialization
Newton's method
Flow Step limit 0.5000 (-)
Temperature Step limit 10.00 ( C)
Composition Step limit 1.000 (-)
Accuracy = 0.0001
Maximum iterations = 30
Feeds type = Stage below
User program = CSW
ChemSep (TM) - Flash/Col2 v4.30s
Copyright(c) H.Kooijman and R.Taylor, 1988-2001
Checking data file C:\CHEMSEP\BT3.SEP
Reading configuration
Reading component property libraries
Reading thermodynamic property options
Reading specifications
Checking Component Data
Benzene
Toluene
Determining feed conditions
Generating initial flow profiles
Generating initial composition profiles
Starting Newtons method
Ctrl-Break will terminate execution
Iteration Error
0 9.5880E-04
1 4.5167E-02
2 4.9231E-03
3 1.1760E-05
Convergence obtained in 3 iterations
Generating equilibrium data
c:/chemsep/bin/go-col2.exe done
Mass and Energy Balances
Stream / Apparatus Mass (mol/s) Energy (MW) Exergy (MW)
Feed 1 11.75 0.0000 -0.8236
Top -5.873 -0.0000 0.3534
Bottom -5.874 -0.0000 0.4625
Condenser Duty 0.0000 0.0000
Reboiler Duty 0.0000 0.0000
----------- + ----------- + ----------- +
Balance -3.958E-05 0.0000 -0.007768
Thermodynamic efficiency = -0.0000
Component discrepancies (mol/s)
Benzene -2.209E-05
Toluene -1.678E-05
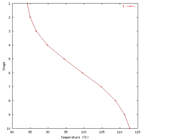
Stage Temperature Pressure Flow rates (mol/s)
( C) (bar) Liquid Vapour Feed Product
1 84.11 1.115 58.73 5.873 L
2 84.92 1.115 58.73 64.60
3 86.61 1.115 58.73 64.60
4 89.72 1.115 58.73 64.60
5 94.41 1.115 70.48 64.60 11.75
6 99.53 1.115 70.48 64.60
7 104.8 1.115 70.48 64.60
8 108.8 1.115 70.48 64.60
9 111.3 1.115 70.48 64.60
10 112.7 1.115 64.60 5.874 L
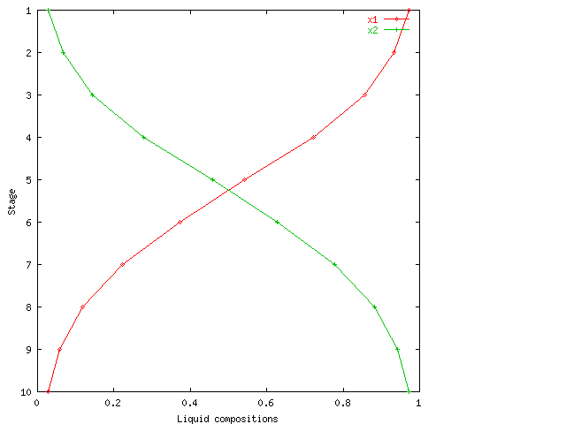
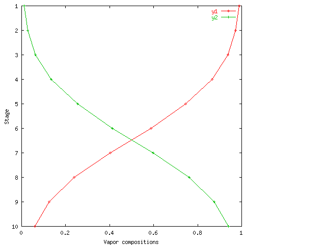
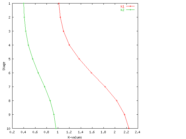
Profile for Toluene
Stage Liquid (-) Vapour (-) K (-)
1 0.02717 0.01084 0.3990
2 0.06626 0.02717 0.4101
3 0.1445 0.06270 0.4338
4 0.2786 0.1339 0.4805
5 0.4580 0.2557 0.5584
6 0.6282 0.4112 0.6547
7 0.7788 0.5968 0.7663
8 0.8822 0.7612 0.8628
9 0.9418 0.8740 0.9280
10 0.9728 0.9389 0.9652
Profile for Toluene
Stage Liquid (-) Vapour (-) K (-)
1 0.02717 0.01084 0.3990
2 0.06626 0.02717 0.4101
3 0.1445 0.06270 0.4338
4 0.2786 0.1339 0.4805
5 0.4580 0.2557 0.5584
6 0.6282 0.4112 0.6547
7 0.7788 0.5968 0.7663
8 0.8822 0.7612 0.8628
9 0.9418 0.8740 0.9280
10 0.9728 0.9389 0.9652
Stream Feed 1 Top Bottom
Stage 5 1 10
Pressure (bar) 1.115 1.115 1.115
Vapour fraction (-) 0.0000 0.0000 0.0000
Temperature ( C) 95.60 84.11 112.7
Enthalpy (kJ/kmol) 0.0000 0.0000 0.0000
Entropy (J/kmol/K) 2.352E+05 2.018E+05 2.641E+05
Mole flows (mol/s)
Benzene 5.874 5.714 0.1600
Toluene 5.874 0.1596 5.714
Total molar flow 11.75 5.873 5.874
Mole fractions (-)
Benzene 0.5000 0.9728 0.02724
Toluene 0.5000 0.02717 0.9728
Mass flows (kg/s)
Benzene 0.4588 0.4463 0.01250
Toluene 0.5412 0.01470 0.5265
Total mass flow 1.0000 0.4610 0.5390
Mass fractions (-)
Benzene 0.4588 0.9681 0.02319
Toluene 0.5412 0.03189 0.9768
Liquid compositions
Vapor compositions
K-values
Temperatures
Pressures
Flow profiles
Enthalpies
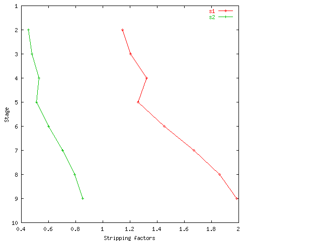
Stripping factors
Key-ratios
Relative volatilities
McCabe-Thiele