BT4.SEP | This file was created on 23 Jun'03 0:43 by ChemSep v4.50( C:\CHEMSEP\BT4.SEP) |
Column C:\CHEMSEP\BT4.SEP
Components:
Benzene
Toluene
Operation:
Simple Distillation
Total (Liquid product) Condenser
Partial (Liquid product) Reboiler
10 Stages
Feeds to stages 5
|----|
|------>-----| |
| |1 | |
|--|------| |--|-|
| | |----<-------->-
|--|---|--|
|--|---|--|
----->----5-|--|---|--|
|--|---|--|
|--|---|--|
| |---|-----<----|
|------|--| |--|-|
|--->---------->-
10|----|
Properties:
Raoult's law K model
Antoine Vapour pressure
None Enthalpy
Enthalpy reference state Vapour
Enthalpy reference temperature 25.00 ( C)
Formation enthalpies Excluded
Exergy surroundings temperature 25.00 ( C)
Reactions:
Specifications:
Column pressure
Condenser pressure 1.115 (bar)
Top pressure 1.115 (bar)
Default efficiency = 0.5000 (-)
Feed 1
Stage 5
Pressure (bar) 1.115
Enthalpy (kJ/kmol)
Vapour fraction (-) 0.0000
Temperature ( C)
Component flows (mol/s)
Benzene 5.874
Toluene 5.874
Condenser
Reflux ratio = 2.000 (-)
Initialization guess: *
Reboiler
Bottom product flow rate = 5.874 (mol/s)
Initialization guess: *
Solve options:
Automatic Initialization
Newton's method
Flow Step limit 0.5000 (-)
Temperature Step limit 10.00 ( C)
Composition Step limit 1.000 (-)
Accuracy = 0.0001
Maximum iterations = 30
Feeds type = Stage below
User program = CSW
ChemSep (TM) - Flash/Col2 v4.30s
Copyright(c) H.Kooijman and R.Taylor, 1988-2001
Checking data file C:\CHEMSEP\BT4.SEP
Reading configuration
Reading component property libraries
Reading thermodynamic property options
Reading specifications
Checking Component Data
Benzene
Toluene
Determining feed conditions
Generating initial flow profiles
Generating initial composition profiles
Starting Newtons method
Ctrl-Break will terminate execution
Iteration Error
0 1.9510E-01
1 4.2238E-02
2 5.2541E-04
3 1.5582E-07
Convergence obtained in 3 iterations
Generating equilibrium data
c:/chemsep/bin/go-col2.exe done
Mass and Energy Balances
Stream / Apparatus Mass (mol/s) Energy (MW) Exergy (MW)
Feed 1 11.75 0.0000 -0.8236
Top -5.873 -0.0000 0.3728
Bottom -5.874 -0.0000 0.4482
Condenser Duty 0.0000 0.0000
Reboiler Duty 0.0000 0.0000
----------- + ----------- + ----------- +
Balance -3.958E-05 0.0000 -0.002708
Thermodynamic efficiency = -0.0000
Component discrepancies (mol/s)
Benzene -1.859E-05
Toluene -2.105E-05
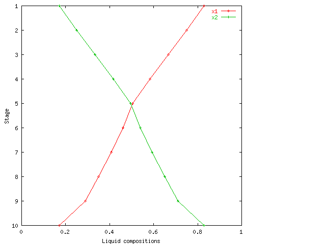
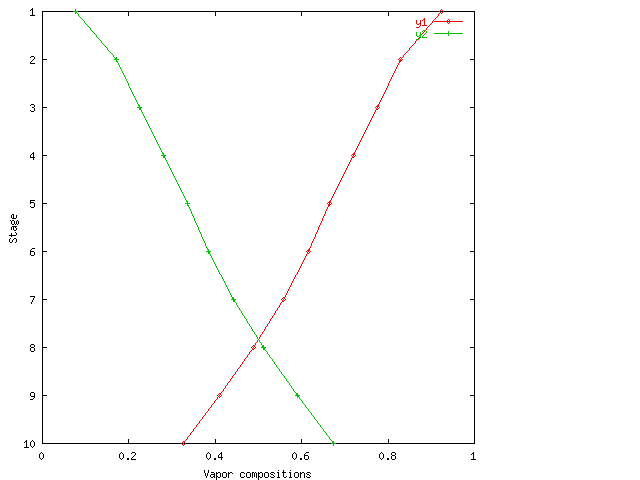
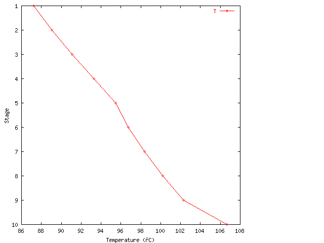
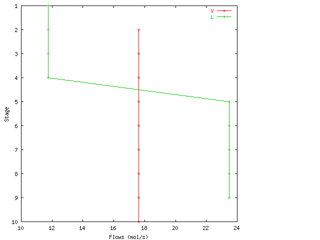
Stage Temperature Pressure Flow rates (mol/s)
( C) (bar) Liquid Vapour Feed Product
1 87.20 1.115 11.75 5.873 L
2 89.04 1.115 11.75 17.62
3 91.10 1.115 11.75 17.62
4 93.27 1.115 11.75 17.62
5 95.46 1.115 23.49 17.62 11.75
6 96.77 1.115 23.49 17.62
7 98.36 1.115 23.49 17.62
8 100.2 1.115 23.49 17.62
9 102.3 1.115 23.49 17.62
10 106.7 1.115 17.62 5.874 L
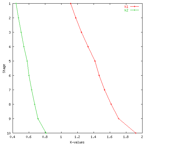
Profile for Toluene
Stage Liquid (-) Vapour (-) K (-)
1 0.1707 0.07549 0.4423
2 0.2503 0.1707 0.4699
3 0.3341 0.2237 0.5025
4 0.4168 0.2796 0.5386
5 0.4951 0.3347 0.5772
6 0.5396 0.3837 0.6013
7 0.5916 0.4430 0.6317
8 0.6498 0.5123 0.6690
9 0.7117 0.5900 0.7129
10 0.8293 0.6725 0.8110
Profile for Toluene
Stage Liquid (-) Vapour (-) K (-)
1 0.1707 0.07549 0.4423
2 0.2503 0.1707 0.4699
3 0.3341 0.2237 0.5025
4 0.4168 0.2796 0.5386
5 0.4951 0.3347 0.5772
6 0.5396 0.3837 0.6013
7 0.5916 0.4430 0.6317
8 0.6498 0.5123 0.6690
9 0.7117 0.5900 0.7129
10 0.8293 0.6725 0.8110
Stream Feed 1 Top Bottom
Stage 5 1 10
Pressure (bar) 1.115 1.115 1.115
Vapour fraction (-) 0.0000 0.0000 0.0000
Temperature ( C) 95.60 87.20 106.7
Enthalpy (kJ/kmol) 0.0000 0.0000 0.0000
Entropy (J/kmol/K) 2.352E+05 2.129E+05 2.559E+05
Mole flows (mol/s)
Benzene 5.874 4.871 1.003
Toluene 5.874 1.002 4.871
Total molar flow 11.75 5.873 5.874
Mole fractions (-)
Benzene 0.5000 0.8293 0.1707
Toluene 0.5000 0.1707 0.8293
Mass flows (kg/s)
Benzene 0.4588 0.3805 0.07834
Toluene 0.5412 0.09236 0.4488
Total mass flow 1.0000 0.4728 0.5272
Mass fractions (-)
Benzene 0.4588 0.8047 0.1486
Toluene 0.5412 0.1953 0.8514
Liquid compositions
Vapor compositions
K-values
Temperatures
Pressures
Flow profiles
Enthalpies
Stripping factors
Key-ratios
Relative volatilities
McCabe-Thiele